%load_ext autoreload
%autoreload 2
%aimport plotnine
import pandas as pd
import numpy as np
from plotnine import (
ggplot,
aes,
after_stat,
stage,
geom_bar,
geom_text,
geom_bin_2d,
stat_bin_2d,
)Stacked Bar Chart

df = pd.DataFrame({
"var1": list("abbcccddddeeeee"),
"cat": list("RSRSRSRRRSRSSRS")
})
(
ggplot(df, aes("var1"))
+ geom_bar()
)
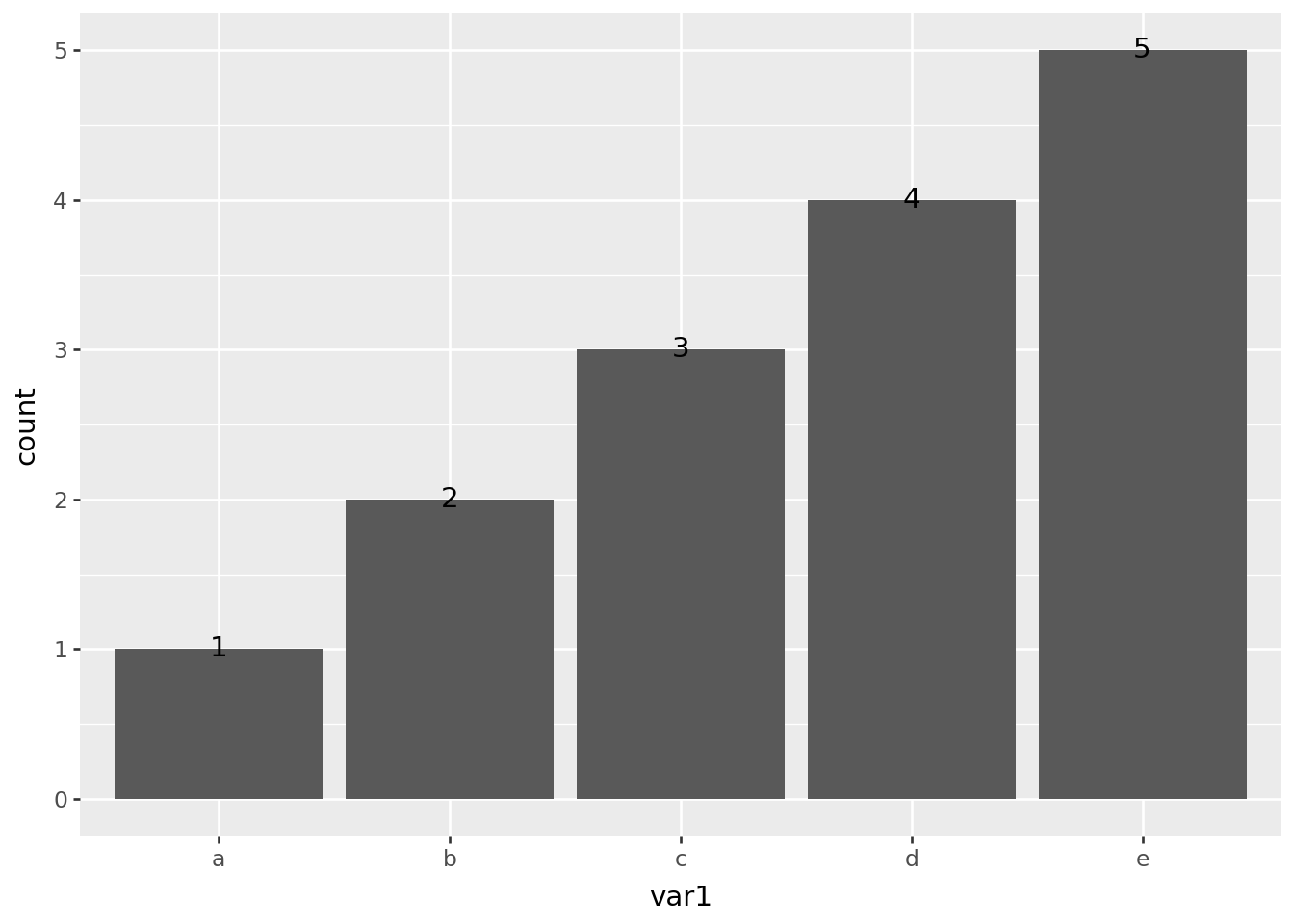
Add the corresponding count on top of each bar.
(
ggplot(df, aes("var1"))
+ geom_bar()
+ geom_text(aes(label=after_stat("count")), stat="count")
)
Adjust the y position so that the counts do not overlap the bars.
(
ggplot(df, aes("var1"))
+ geom_bar()
+ geom_text(
aes(label=after_stat("count"), y=stage(after_stat="count", after_scale="y+.1")),
stat="count",
)
)
Note that this will work even nicely for stacked bars where adjustig the position with nudge_y=0.1 would not.
(
ggplot(df, aes("var1", fill="cat"))
+ geom_bar()
+ geom_text(
aes(label=after_stat("count"), y=stage(after_stat="count", after_scale="y+.1")),
stat="count",
position="stack",
)
)
Create a binned 2d plot with counts
np.random.seed(123)
df = pd.DataFrame({
"col_1": np.random.rand(1000),
"col_2": np.random.rand(1000)
})(
ggplot(df, aes(x="col_1", y="col_2"))
+ geom_bin_2d(position="identity", binwidth=0.1)
)/home/runner/work/plotnine.org/plotnine.org/.venv/lib/python3.13/site-packages/plotnine/stats/stat.py:331: UserWarning:
The following aesthetics were dropped during processing: ['x', 'y'].
plotnine could not infer the correct grouping.
Did you forget to specify a `group` aesthetic or to convert a numerical variable into a categorial?
/home/runner/work/plotnine.org/plotnine.org/.venv/lib/python3.13/site-packages/mizani/bounds.py:438: RuntimeWarning: overflow encountered in scalar divide
/home/runner/work/plotnine.org/plotnine.org/.venv/lib/python3.13/site-packages/mizani/bounds.py:438: RuntimeWarning: overflow encountered in scalar divide

Add counts to the bins. stat_bin_2d bins are specified using retangular minimum and maximum end-points for dimension; we use these values to compute the mid-points at which to place the counts.
First x and y aesthetics are mapped to col_1 and col_2 variables, then after the statistic consumes them and creates xmin, xmax, ymin & ymax values for each bin along with associated count. After the statistic computation the x and y aesthetics do not exist, but we create meaningful values using the minimum and maximum end-points.
Note that the binning parameters for the geom and stat combination must be the same. In this case it is the binwidth.
(
ggplot(df, aes(x="col_1", y="col_2"))
+ geom_bin_2d(position="identity", binwidth=0.1)
+ stat_bin_2d(
aes(
x=stage(start="col_1", after_stat="(xmin+xmax)/2"),
y=stage(start="col_2", after_stat="(ymin+ymax)/2"),
label=after_stat("count"),
),
binwidth=0.1,
geom="text",
format_string="{:.0f}",
size=10,
)
)/home/runner/work/plotnine.org/plotnine.org/.venv/lib/python3.13/site-packages/plotnine/stats/stat.py:331: UserWarning:
The following aesthetics were dropped during processing: ['x', 'y'].
plotnine could not infer the correct grouping.
Did you forget to specify a `group` aesthetic or to convert a numerical variable into a categorial?
/home/runner/work/plotnine.org/plotnine.org/.venv/lib/python3.13/site-packages/plotnine/stats/stat.py:331: UserWarning:
The following aesthetics were dropped during processing: ['x', 'y'].
plotnine could not infer the correct grouping.
Did you forget to specify a `group` aesthetic or to convert a numerical variable into a categorial?
/home/runner/work/plotnine.org/plotnine.org/.venv/lib/python3.13/site-packages/mizani/bounds.py:438: RuntimeWarning: overflow encountered in scalar divide
/home/runner/work/plotnine.org/plotnine.org/.venv/lib/python3.13/site-packages/mizani/bounds.py:438: RuntimeWarning: overflow encountered in scalar divide
