import numpy as np
import pandas as pd
from plotnine import (
ggplot,
aes,
geom_boxplot,
geom_jitter,
scale_x_discrete,
coord_flip,
)
from plotnine.data import pageviewsA box and whiskers plot
In [1]:
The boxplot compactly displays the distribution of a continuous variable.
Read more: + wikipedia + ggplot2 docs
In [2]:
flights = pd.read_csv("data/flights.csv")
flights.head()| year | month | passengers | |
|---|---|---|---|
| 0 | 1949 | January | 112 |
| 1 | 1949 | February | 118 |
| 2 | 1949 | March | 132 |
| 3 | 1949 | April | 129 |
| 4 | 1949 | May | 121 |
Basic boxplot
In [3]:
months = [month[:3] for month in flights.month[:12]]
print(months)['Jan', 'Feb', 'Mar', 'Apr', 'May', 'Jun', 'Jul', 'Aug', 'Sep', 'Oct', 'Nov', 'Dec']
A Basic Boxplot
In [4]:
# Gallery, distributions
(
ggplot(flights)
+ geom_boxplot(aes(x="factor(month)", y="passengers"))
+ scale_x_discrete(labels=months, name="month") # change ticks labels on OX
)
Horizontal boxplot
In [5]:
(
ggplot(flights)
+ geom_boxplot(aes(x="factor(month)", y="passengers"))
+ coord_flip()
+ scale_x_discrete(
labels=months[::-1],
limits=flights.month[11::-1],
name="month",
)
)
Boxplot with jittered points:
In [6]:
(
ggplot(flights, aes(x="factor(month)", y="passengers"))
+ geom_boxplot()
+ geom_jitter()
+ scale_x_discrete(labels=months, name="month") # change ticks labels on OX
)
Precomputed boxplots
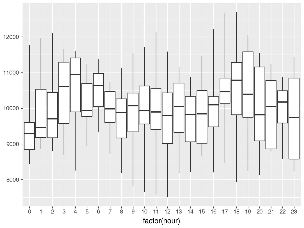
For datasets that do not fit in memory, you can precompute the boxplot metrics (for example by aggregating the statistics using database queries) and then use geom_boxplot with stat="identity".
In [7]:
# Precompute the metrics
def q25(x):
return x.quantile(0.25)
def q75(x):
return x.quantile(0.75)
pageviews["hour"] = pageviews.date_hour.dt.hour
precomputed_metrics = pageviews.groupby("hour").agg({'pageviews': ["min", q25, "median", q75, "max"]})
precomputed_metrics.columns = [col_name[1] for col_name in precomputed_metrics.columns]
precomputed_metrics = precomputed_metrics.reset_index()
precomputed_metrics.head()| hour | min | q25 | median | q75 | max | |
|---|---|---|---|---|---|---|
| 0 | 0 | 8437.500380 | 8842.109077 | 9297.046035 | 9600.362430 | 11762.446233 |
| 1 | 1 | 8852.123978 | 9177.938537 | 9457.821814 | 10530.072887 | 11974.437292 |
| 2 | 2 | 8793.076686 | 9176.462389 | 9704.885172 | 10446.315276 | 12105.406628 |
| 3 | 3 | 8683.606449 | 9574.722286 | 10615.670464 | 11290.246605 | 11651.443193 |
| 4 | 4 | 8252.974951 | 9898.998785 | 10959.909095 | 11409.657288 | 11603.711837 |
In [8]:
(
ggplot(precomputed_metrics)
+ geom_boxplot(
aes(x="factor(hour)", ymin="min", lower="q25", middle="median", upper="q75", ymax="max"),
stat="identity"
)
)