Plot composition

Plot composition is the process of combining multiple plots together. Plotnine overloads the | and / operators for putting plots side-by-side or stacked vertically. It also provides the &, *, and + operators for adding components to parts of composed plots.

This page covers the basics of plot composition. See the Compose Reference page for more details.

Big example

from plotnine import *
from plotnine.data import mtcars

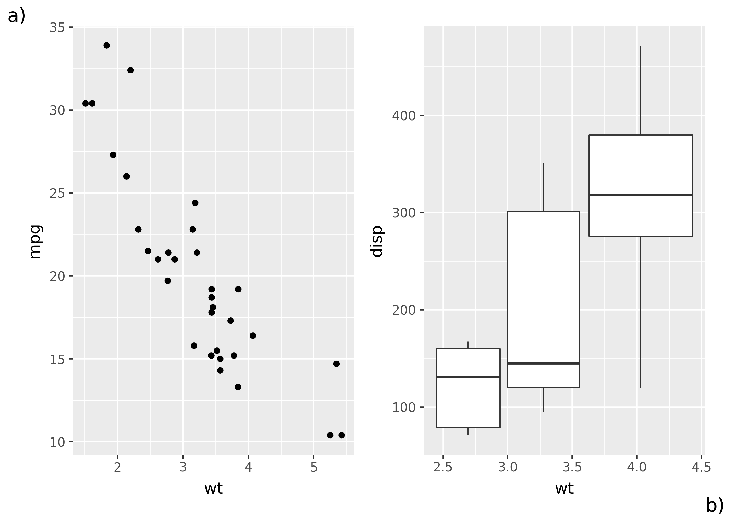
p1 = ggplot(mtcars) + geom_point(aes("wt", "mpg")) + labs(tag="a)")
p2 = ggplot(mtcars) + geom_boxplot(aes("wt", "disp", group="gear")) + labs(tag="b)")
p3 = ggplot(mtcars) + geom_smooth(aes("disp", "qsec")) + labs(tag="c)")
p4 = ggplot(mtcars) + geom_bar(aes("carb"))

(p1 | p2 | p3) / p4

Notice the following pieces in the code:

  • | places plots side-by-side.
  • / stacks plots vertically.
  • labs(tag=...) adds a label to the top-left of each plot.

Tag position

Use theme(plot_tag_position=…) to change the position of the tag on a plot.

p1 | (p2 + theme(plot_tag_position="bottom-right"))

Notice that the tag for p2 (“b)”) is now at the bottom-right.

Adding to composed plots

Use the &, *, or + operators to add components like geoms, scales, or themes to plots in a plot composition. The & operator adds to all plots in a composition, while * and + add to the first or last plot, respectively.

composed = p1 | p2

composed & theme_minimal()  # themes both plots
composed * theme_minimal()  # themes first plot (p1)
composed + theme_minimal()  # themes last plot (p2)

Adding margins to plots

Use options like theme(plot_margin_left=...) to add margins to plots. Margins can be added to the left, right, top, or bottom of a plot.

p1 | p2 + theme(plot_margin_left=0.20)

Notice that a left margin was added to the second plot (p2).

Inserting space between plots

Use plot_spacer() to insert space between plots.

from plotnine.composition import plot_spacer

(p1 | p2) / (p1 | plot_spacer() | p2)

Notice that the top row has the plots side-by-side, while the bottom row puts a space between them.

Nesting level

Nesting level determines the proportion of space a plot (or group of plots) is given. Essentially, each group of plots is a nesting level, and because groups of plots can hold other groups, you can have multiple levels of nesting. This may sound confusing, so this section will start with an example, before explaining nesting levels in more detail.

Use the - operator to put the right-hand plot in its own group, giving it twice as much space as each individual plot on the left.

top = p1 | p2 | p3 | p4  # all on same nesting level
bot = (p1 | p2 | p3) - p4  # p1, p2, p3 grouped (lower nesting level)

top / bot

Notice that the top row gives each plot panel equal space, while the bottom row gives equal space to the plot panel on the right (the one added with -).

A key here is that the plot panel is the space where geoms are drawn (e.g. points or bars), which excludes areas like the axes and legends. The plot panels for the four bottom plots are marked below.

By default each | adds the plot on the right to the group of plots on the left, and each side-by-side plot in a group is given equal horizontal space. The - operator creates a new group consisting of the left-hand group and the right-hand plot. In this case, each group is a separate nesting level.

More on grouping

Here’s a diagram of the nesting levels for the example above.

Grouping code.

top = p1 | p2 | p3 | p4  # all on same nesting level
bot = (p1 | p2 | p3) - p4  # p1, p2, p3 grouped (lower nesting level)

top / bot

Nesting levels.

* level 1 (`/` stack operator)

  # TOP ROW
  - level 2:
    - p1
    - p2
    - p3
    - p4

  # BOTTOM ROW
  - level 2:
    - level 3:
      - p1
      - p2
      - p3
    - level 3:
      - p4